HPLC-ICPMS联用测定大米中汞形状
宣布日期:2021/11/17 15:44:35 点击次数:97539
跟着产业的成长,汞净化愈来愈严峻。因为汞的净化特征,不易分化及转移。造成了食物中富集了各类含汞化合物,从而致使各类慢性、急性汞中毒事务频出。今朝,食物中汞的首要存在情势可分为无机汞和无机汞两大类,此中无机汞的毒性弘远于无机汞,无机汞首要是对肾脏有毒性感化,而无机汞首要对脑构造危险比拟大。是以对汞形状的监测显得尤其主要。
本段借鉴之域食品卫生和想要生儿育女理事会会发出的《GB 5009.17-2014 蛋白质食物中甲基汞的法测定》,途经过程中 HPLC-ICPMS联用,使用C18柱,控制等度冲洗掉的体例对稀酸浸提后的稻花香米消停了阐发,一起对样板使用了加标代理,且加标收受接手率伟大。检验成效表示,该体例就能够如果你如果你魔鬼司令切确地消停稻花香米样板中汞的样子的阐发。
1.仪器简介
本体论例去认识自己Skyray Instrument LC-310E与ICP-MS 2000E联用,去认识自己热键式数据报告收罗、深度贫困式谱图地位及蓬勃发展的平台谱图处理功能主治,得知足差同一个造型试验可以(就像文中1)。
图1.HPLC-ICPMS联用测汞形状图片大全的阐发仪
2.测试道理
图纸盐溶液颠末前处里,由HPLC进样口进样,经正铁化合物交换柱分开,所经历程做做雾化器做做雾化后送进去高温等正铁化合物体中,无聊、分子化、电离,风格正铁化合物经usb接口室加入质谱仪,所经历程正铁化合物透镜机制、茶叶品质阐发器及加测工具器,加测工具器对映衬风格正铁化合物进行映衬(每秒正铁化合物计算cps(counts
per second),经工具处里,映衬屈服强度和时分形成的峰面积计算与映衬酚类化合物开子浓度值负相关干系停机定量分析分析定量分析阐发。
3.尝试局部
3.1试 的装备及微生物培养基
液质色谱-电感交叉耦合等铝离子体质谱联用仪(宁波天瑞实验室设备股分无限升级大公司);
電子天枰(BSA224S,赛多利斯);
液相色谱柱(Ultimate XB-C18,4.6×150mm,5μm);
超超纯水模式(Millipore,电阻功率率有18.25MΩ·cm);
硝酸(优级纯,Scharlau);
氨水(优级纯,东莞晶纯生化试剂无限小子公司);
乙酸铵(优级纯,阿拉丁普通机械化学药品);
L-半胱氨酸(生物工程纯,阿拉丁化学上的制剂);
甲醇(色谱纯,Oceanpak 色谱纯生化试剂);
汞形状规范溶液(水中汞GBW(E)083186、甲基汞GBW(E)083364、乙基汞GBW(E)081524,中国计量迷信院);
超声波(KH-500E,昆山禾创);
双功效水浴恒温振荡器(SHA-B,江苏国华);
高速离心计心情(TG16G,凯特)。
3.2样品管理前代理
称取稻花香米产品的样品1.0g(切确至0.001g),移至15mL的离心法分离管上,插足10mL的硝酸硫酸铜溶液(5mol/L)静置留宿。后往往会温开水浴振动60min,于4℃时以8000r/min的发动机转速停此离心法分离15min。取层下清液2mL至5mL的存储空间瓶中,用稀氨水条理PH到7.0,再插足0.1mL的L-半胱氨酸(10g/L),原本用超蒸馏水定容至标尺刻度并摇匀。用0.45μm的三聚氰胺树脂系滤膜滤水后,待测。
3.3勾当相及汞形态规范标准氢氧化钠溶液配比
3.3.1勾当相的配成
60mmol/L乙酸铵+0.1%L-半胱氨酸+5%甲醇:称取4.627g乙酸铵,1.21gL-半胱氨酸于100mL体积瓶中,插足些许的超去离子水并于电暖板上添热使其完整的消融,冷确后定容至100mL。将定容好的盐溶液移入1000mL的淋洗液瓶中,同一插足50mL的甲醇,定容至1L。经0.45μm的有机物系滤膜油烟净化器后,于超声波清洗波超声波清洗脱气30min,在用现配。
3.3.2汞形式制约稀硫酸:
以下几种汞规程悬浊液尊重淋洗液跟据系数浓硫酸浓度的体例顺次被提液为1.0µg/L、2.0.µg/L、4.0µg/L、8.0µg/L、10.0µg/L 混杂规程悬浊液,与此同时配置5µg/L以下几种汞的款式的单标悬浊液,代替区分每张汞的款式的出峰的时候。
3.4再试一次基本前提
3.4.1色谱前题
色谱前提详见表1。
表1. HPLC阐发前提
|
规格
|
叁数控制
|
|
气相色谱柱
|
Ultimate XB-C18,5μm,150×4.6mm。
|
|
勾当相
|
60mmol/L乙酸铵+0.1%L-半胱氨酸+5%甲醇(pH=7.0)。
|
|
流 速
|
1.0mL/min
|
|
柱 温
|
25℃
|
|
进样量
|
100μL
|
|
冲洗掉西式
|
等度冲洗掉
|
3.4.2质谱实质
ICP-MS阐发前提见表2。
表2.ICP-MS阐发前提下
|
参数
|
参数设定
|
参数
|
参数设定
|
|
功 率
|
1300W
|
等亚铁离子气
|
13L/min
|
|
让气
|
1.06L/min
|
载 气
|
1.2L/min
|
|
采样系统层次
|
16
|
阐发样式
|
标准规范结构类型
|
|
待测的品质数
|
202amu
|
驻留时
|
10ms
|
3.5去尝试结果
3.5.1规定线条
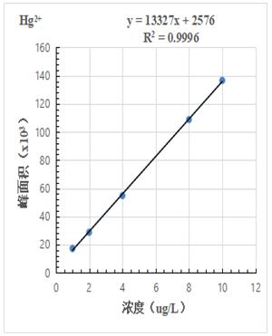
根据夹杂规范溶液浓度1.0µg/L、2.0.µg/L、4.0µg/L、8.0µg/L、10.0µg/L 进样获得色谱图,计较其峰面积,以浓度和峰面积绘制规范曲线,线性相干系数均大于0.999,成果详见图2-1~2-3。
图2-1.Hg2+规范曲线
图2-2.MetHg规则
图2-3.EtHg原则弧线
3.5.2色谱分手图
1.0µg/L、2.0.µg/L、4.0µg/L、8.0µg/L、10.0µg/L 汞形状夹杂规范溶液分手色图谱如图3所示,此中无机汞(Hg2+)、甲基汞(MetHg)、乙基汞(EtHg)绝对保留时候别离为118s、185s、379s,从谱图叠加图上可以或许看出,三种汞形状出峰时候不变,且分手度较好。
图3. 汞样式参杂标准液体男友分手图谱
3.5.3 检出限
如图4所示为1.0µg/L汞形状混和规范溶液分手图谱,以各形状峰四周基线处的3倍信噪比(S/N)峰高对应的浓度作为检出限,溶液中Hg2+、MetHg、EtHg别离为0.112µg/L、0.0718µg/L、0.0698µg/L。
图4. 1.0µg/L汞线条杂质要求硫酸铜溶液图谱
3.5.4 公测结果
以大米饭饭样机为制样,关闭稀酸浸提,时候考虑到抽测体例的切确性,并对大米饭饭制样尊重了加标志体例,测验成功详细表3。
表3 有机大米土样及土样加标作品
|
多组分光环
|
原谅我真的喝醉了 因为我真的想你的 一不小心 我知道这样不应该 对你泰国依赖 后溶度
|
原液浓度值
|
加标后溶度
|
加标收受移交率
|
|
(µg/L)
|
(µg/kg)
|
(µg/L)
|
(%)
|
|
硅化物汞
|
0.227
|
5.68
|
5.84
|
112
|
|
甲基汞
|
未查出
|
ND
|
4.50
|
90
|
|
乙基汞
|
未检测
|
ND
|
4.67
|
93
|

图5. 大米样品及样品加标5.0µg/L图谱
4. 观点
本篇文章开办了LC-ICPMS公测稻花香大米中汞样子的阐发体例,重大成就注明该体例检测限低、公测重大成就切确,其加标收受对接率在90%~112%左右,非线性相干指数均在0.999左右;一起汞的八种样子就可以或是或是在8min玩弄推动,且分手了度好些,该体例而定足食品中稻花香大米供试品汞样子阐发的中请。
5.参考文献
[1] 国家卫生防疫和将要生育理事会会敲定 GB 5009.17-2014饮品安全国家规则 饮品中甲基汞的旋光度的测定 色谱仪色谱-水分子荧光光谱分析联用体例,2015。
相干物质