1.弁言
2015年12月14日,环保部宣布了《HJ 780-2015 泥土(tu)(tu)和(he)堆积物(wu)(wu)(wu)无(wu)机(ji)元素(su)的(de)(de)测(ce)定——波(bo)长(zhang)色散X射线荧光(guang)光(guang)谱(pu)法》(以下简称(cheng)“HJ 780-2015”),♊正式成立(li)了泥土(tu)(tu)中无(wu)机(ji)元素(su)的(de)(de)检测(ce)体(ti)例。2016年中,国务院正式向社会公然《泥土(tu)(tu)净(jing)化防治步履打算》(“土(tu)(tu)十条(tiao)”)全(quan)文(wen),周全(quan)增强泥土(tu)(tu)净(jing)化的(de)(de)管(guan)理。为共同(tong)国度(du)展开泥土(tu)(tu)查验和(he)管(guan)理任务,江苏天瑞(rui)仪(yi)器股分无(wu)限公司(以下简称(cheng)“天瑞(rui)仪(yi)器”)推出的(de)(de)WDX4000型波(bo)长(zhang)色散X射线荧光(guang)光(guang)谱(pu)仪(yi)及其相干(gan)利用体(ti)例,可用于测(ce)定泥土(tu)(tu)和(he)堆积物(wu)(wu)(wu)中25种(zhong)无(wu)机(ji)元素(su)和(he)7种(zhong)氧(yang)化物(wu)(wu)(wu),完整(zheng)知足(zu)HJ 780-2015规(gui)范的(de)(de)利用请求。
2.检测设备详细资料
WDX4000挨次式波长色散X射线(xian)荧(ying)光(guang)光(guang)谱仪(yi)是天瑞(rui)仪(yi)器(qi)承当的(de)国度严重迷(mi)信(xin)仪(yi)器(qi)🐟专项(xiang)名(ming)目的(de)研讨功效(xiao),具备(bei)完整的(de)自(zi)立常识产权。WDX4000接纳了大批(pi)立异(yi)性和通用化的(de)设想,配有40✤位主动进样(yang)器(qi),机能优(you)良(liang),操(cao)纵简洁(jie)。
1)测角仪(yi):紧密🏅双(shuang)轴,可出具计量(liang)局部(bu)校准证书。
2)高(gao)压:大功率(lv)≥4🅰kW,切换(huan)敏(min)捷,机能不变,毛(mao)病(bing)率(lv)极低。
3ಞ)光管:下照式,4kW,Rh靶(ba),配套双通(tong)道(dao)光管水冷体系,极大耽误光管利用(yong)寿命;
3)滤光片(pian):5组,优(you)化(hua)设💝置装备摆设Cu、Al滤光片(pian)和防尘(chen)滤光片(pian);
4)准(zhun)直器(qi༒):3个,知(zhi)足客户在丈量微量元素时,对分辩率和强度的偏重挑选(xuan);
🍌5)晶(jing)体:标配(pei)5块晶(jing)体,可以或许实现(xian)C6—U92之间(jian)元素(su)定性、定🍎量的阐发(fa),还(hai)有选(xuan)3个空位可供定制;
6)探测(ce)器(qi):闪灼探测(ce)器(qi),大线性(xing)计数率3000kcps,流气探测(ce)ꦬ器(qi),大线性(xing)计数率𝔍1500kcps,具备芯线主(zhu)动洗(xi)濯(zhuo)功(gong)效;
7)主(zhu)动(dong)进(jin)样(yang)器(qi)(qi):40位全主(zhu)动(dong)机(ji)器(qi)🎃(qi)手进(jin)样🐬(yang)器(qi)(qi);
8)新版操纵软件,具备现实 a 系数校订、经历α、β、γ系数校订、FP参数校订、谱线堆叠校订、仪器状态监控和壮大的Sqlite公用数据库等功效;
9)独占真(zhen)氛(fen)围路缓冲体(ti)系,有(you)用掩(yan)🍨护薄膜型样品,在大气颗(ke)粒物(wu)检测范畴利用普遍。
图 1 WDX4000仪器(qi)外(wai)表图
3.试 整体
3.1 试试哲理
大功率高压光(guang)管发(fa)射(she)出的(de)原级(ji)X射(she)线(xian),颠末滤光(guang)片后(hou)(hou),照ღ耀到(dao)样品(pin)外表,激起出样品(pin)中各元(yuan)素的(de)特点X射(she)线(xian)。特点X射(she)线(xian)颠末一次准直(zhi)器(qi)准直(zhi)后(hou)(hou)平(ꦆping)行入(ru)射(she)到(dao)分光(guang)晶体上;再由测角仪扫(sao)描出合(he)适布拉格衍射(she)前提的(de)特点X射(she)线(xian)。X射(she)线(xian)颠末二次准直(zhi)器(qi)后(hou)(hou),进入(ru)探测器(qi)停止旌旗(qi)灯号收(shou)罗。经由进程计较机(ji)软件处(chu)置(zhi)后(hou)(hou)实现定性阐发(fa)和定量阐发(fa)。
3.2 装配和微生物培养基
装备(bei):WDX4000:波长色散型X射线荧光光谱(pu)仪;
阐发天平:精度0.1mg;
主动粉末压片机:压力30吨,保压时候30s;
非金属筛:孔径0.075mm,200目。
试剂:硼酸(H3BO3):阐发纯。
泥土标样(yang):市售(shou)有证标样(yang)GSS1——GSS27;
3.3 仿品前应急处置
泥土样品的收罗和保管按照HJ/T 166履行,堆积物样品的收罗和保管按照GB17378.3和GB17378.5履行。样品的风干或烘干按照HJ/5 166及GB17378.5相干划定停止操纵。样品烘干后,对样品停止研磨,后过200目非金属筛,于105℃烘干备用。
称量5.0g样品于压片机模具中,以硼酸镶边、垫底,在压片机上以30吨压力,保压30秒的前提压抑成≥7mm的薄片。制成如图 2、图 3的薄片。样品外表要光滑,不能有粉末零落。
图2 压片样品正面图
图3 压片样品正面图
3.4 作业等值线的建成和仿品测量
在配套软件中新建泥土任务区,设置HJ780-2015中25种无机元素和7种氧化物,软件主动天生每一个元素响应的测试参数,而后对每一个元素的现实角度和PHA参数停止零丁设定。仪器参数设定实现后,对有证标样一一测试,获得每一个元素的净强度,便可成立含量与强度的任务曲线。泥土成份较为庞杂,在拟合曲线进程中,良多元素之间存在彼此搅扰,须要对其作基体、谱线堆叠等校订或接纳内标法等手腕从头拟合曲线,获得优良的线性干系曲线。而后对样品停止检出限、精确度和不变性等方面的测试。
4. 测试英文重大成就
4.1 验出限
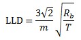
按照所优化的尝试前提,泥土样品中各阐发元素的检出限如 REF
_Ref511912484 \h 表 1,检出限的数学抒发式为:
式中:m为单元含量的计数率;Rb为背景计数率;T为峰值和背景的总丈量时候(s)。由表可见,不管是氧化物仍是含量极低无机元素,均知足HJ780-2015规范中对泥土检出限的划定。检出限规范见规范附录A。
表 1检出限测试成果
|
序号
|
元素/氧化物
|
检出限
|
检出限规范
|
鉴定
|
序号
|
元素/氧化物
|
检出限
|
检出限规范
|
鉴定
|
|
1
|
Na2O
|
0.0468
|
0.05
|
及格
|
17
|
Ni
|
1.16
|
1.5
|
及格
|
|
2
|
MgO
|
0.0444
|
0.05
|
及格
|
18
|
Cu
|
1.08
|
1.2
|
及格
|
|
3
|
Al2O3
|
0.0632
|
0.07
|
及格
|
19
|
Zn
|
1.92
|
2
|
及格
|
|
4
|
SiO2
|
0.158
|
0.27
|
及格
|
20
|
Ga
|
1.52
|
2
|
及格
|
|
5
|
P
|
8.05
|
10
|
及格
|
21
|
As
|
1.78
|
2
|
及格
|
|
6
|
S
|
26.37
|
30
|
及格
|
22
|
Br
|
0.89
|
1
|
及格
|
|
7
|
Cl
|
18.52
|
20
|
及格
|
23
|
Rb
|
1.83
|
2
|
及格
|
|
8
|
K2O
|
0.0412
|
0.05
|
及格
|
24
|
Sr
|
1.90
|
2
|
及格
|
|
9
|
CaO
|
0.0816
|
0.09
|
及格
|
25
|
Y
|
0.81
|
1
|
及格
|
|
10
|
Sc
|
2.28
|
2.4
|
及格
|
26
|
Zr
|
1.89
|
2
|
及格
|
|
11
|
Ti
|
48.15
|
50
|
及格
|
27
|
Ba
|
8.63
|
11.7
|
及格
|
|
12
|
V
|
3.36
|
4
|
及格
|
28
|
La
|
9.82
|
10.6
|
及格
|
|
13
|
Cr
|
2.88
|
3
|
及格
|
29
|
Ce
|
23.85
|
24.1
|
及格
|
|
14
|
Mn
|
6.46
|
10
|
及格
|
30
|
Hf
|
1.52
|
1.7
|
及格
|
|
15
|
Fe2O3
|
0.0432
|
0.05
|
及格
|
31
|
Pb
|
1.73
|
2
|
及格
|
|
16
|
Co
|
1.09
|
1.6
|
及格
|
32
|
Th
|
1.74
|
2.1
|
及格
|
注(zhu):1.元(yuan)素品质分(fen)数单元(yuan)为mg/kg;氧(yang)化🍒物品质分(fen)数单元(yuan)为%;
4.2 小于度
按照规范请求,对每批样品阐发应最少测定1个泥土或堆积物的有证规范物资,其测定值与有证规范物资的绝对误差必须知足对应前提。精确度鉴定规范见HJ780-2015规范中表1。挑选有证规范物资GBW07408(GSS-8)作精确度测试。测试成果如 REF _Ref511912462 \h 表 2ܫ。表(biao)中(zhong)所计较大局部精(😼jing)确度(du)成果均(jun)远低于HJ780-2015中(zhong)对(dui)精(jing)确度(du)的目标值。
表2 精确度测试成果
|
序号
|
元素/氧化物
|
丈量值
|
规范值
|
精确度
|
鉴定规范
|
鉴定
|
|
1
|
Na2O
|
1.76
|
1.72
|
0.00998
|
0.07
|
及格
|
|
2
|
MgO
|
2.348
|
2.38
|
0.0058
|
0.07
|
及格
|
|
3
|
Al2O3
|
11.62
|
11.92
|
0.011
|
0.05
|
及格
|
|
4
|
SiO2
|
58.93
|
58.61
|
0.0023
|
0.05
|
及格
|
|
5
|
P
|
791.31
|
775
|
0.009
|
0.1
|
及格
|
|
6
|
S
|
116.986
|
120
|
0.011
|
0.1
|
及格
|
|
7
|
Cl
|
87.344
|
70
|
0.096
|
0.1
|
及格
|
|
8
|
K2O
|
2.52
|
2.42
|
0.0175
|
0.07
|
及格
|
|
9
|
CaO
|
8.248
|
8.27
|
0.00115
|
0.07
|
及格
|
|
10
|
Sc
|
11.126
|
11.7
|
0.0218
|
0.1
|
及格
|
|
11
|
Ti
|
3642.136
|
3835.8
|
0.0225
|
0.1
|
及格
|
|
12
|
La
|
31.274
|
35.5
|
0.055
|
0.1
|
及格
|
|
13
|
Ba
|
444.23
|
480
|
0.0336
|
0.1
|
及格
|
|
14
|
V
|
72.55
|
81.4
|
0.0499
|
0.1
|
及格
|
|
15
|
Ce
|
56.1
|
66
|
0.0706
|
0.12
|
及格
|
|
16
|
Mn
|
659.448
|
650
|
0.0063
|
0.1
|
及格
|
|
17
|
Cr
|
69.66
|
68
|
0.0105
|
0.1
|
及格
|
|
18
|
Fe2O3
|
4.186
|
4.48
|
0.0295
|
0.07
|
及格
|
|
19
|
Co
|
14.174
|
12.7
|
0.0477
|
0.1
|
及格
|
|
20
|
Ni
|
28.692
|
31.5
|
0.0405
|
0.1
|
及格
|
|
21
|
Hf
|
7.164
|
7
|
0.01005
|
0.1
|
及格
|
|
22
|
Cu
|
25.49
|
24.3
|
0.0207
|
0.1
|
及格
|
|
23
|
Zn
|
68.144
|
68
|
0.00092
|
0.1
|
及格
|
|
24
|
Ga
|
15.54
|
14.8
|
0.0212
|
0.1
|
及格
|
|
25
|
As
|
15.096
|
12.7
|
0.075
|
0.1
|
及格
|
|
26
|
Br
|
2.102
|
2.6
|
0.092
|
0.12
|
及格
|
|
27
|
Pb
|
18.376
|
21
|
0.058
|
0.1
|
及格
|
|
28
|
Th
|
14.842
|
11.8
|
0.0996
|
0.1
|
及格
|
|
29
|
Rb
|
94.03
|
96
|
0.009
|
0.1
|
及格
|
|
30
|
Sr
|
236.892
|
236
|
0.0016
|
0.1
|
及格
|
|
31
|
Y
|
28.196
|
26
|
0.035
|
0.1
|
及格
|
|
32
|
Zr
|
243.124
|
229
|
0.026
|
0.1
|
及格
|
注:元素品质分数单元为mg/kg;氧化物品质分数单元为%。
4.3 不减性
挑选某样品停止不变性测试。天天测试一次,持续测试两周,测试一切元素的绝对规范误差均知足规范HJ780-2015中对不变性的请求。摘取局部测试数据列于表 3。鉴定规范(fan)见(jian)HJ780-2015规范(fan)中附录E.1。
表3 局部元素不变性测试数据
|
次数\元素
|
MgO
|
Fe2O3
|
P
|
S
|
Cl
|
As
|
Br
|
Pb
|
|
1
|
1.80
|
4.21
|
783.74
|
157.86
|
46.21
|
16.77
|
2.49
|
4.34
|
|
2
|
1.79
|
4.21
|
778.44
|
161.03
|
46.94
|
17.82
|
2.76
|
4.49
|
|
3
|
1.78
|
4.19
|
786.01
|
159.13
|
45.98
|
15.58
|
2.59
|
4.73
|
|
4
|
1.79
|
4.21
|
786.01
|
161.66
|
45.16
|
17.05
|
2.49
|
4.31
|
|
5
|
1.78
|
4.21
|
781.47
|
154.05
|
46.9
|
17.37
|
2.62
|
4.61
|
|
6
|
1.78
|
4.22
|
784.50
|
157.22
|
47.81
|
16.97
|
2.78
|
4.35
|
|
7
|
1.79
|
4.21
|
788.28
|
155.32
|
44.98
|
16.31
|
2.64
|
4.53
|
|
8
|
1.78
|
4.22
|
792.07
|
159.13
|
48.16
|
18.06
|
2.78
|
4.41
|
|
9
|
1.79
|
4.20
|
790.55
|
161.66
|
45.07
|
15.64
|
2.68
|
4.28
|
|
10
|
1.78
|
4.20
|
779.20
|
160.41
|
46.63
|
17.01
|
2.82
|
4.32
|
|
均匀值
|
1.78
|
4.21
|
785.70
|
158.74
|
46.38
|
16.66
|
2.67
|
4.44
|
|
规范误差
|
0.007
|
0.009
|
4.53
|
2.63
|
1.11
|
1.02
|
0.12
|
0.15
|
|
RSD(%)
|
0.39
|
0.22
|
0.58
|
1.66
|
2.40
|
6.10
|
4.50
|
3.35
|
|
鉴定规范
|
≤0.4
|
≤0.9
|
≤1.2
|
≤4.6
|
≤2.6
|
≤9.2
|
≤8.3
|
≤4.4
|
|
鉴定
|
及格
|
及格
|
及格
|
及格
|
及格
|
及格
|
及格
|
及格
|
注:元素品质分数单元为mg/kg;氧化物品质分数单元为%。
5. 论述
打算(suan)(suan)利用WDX4000别离对(dui)泥(ni)土(tu)堆(dui)积物中无(wu)(wu)机(ji)元(yuan)素(su)停止了(le)检(jian)出限、精确度、不变性(xing)等名目的(de)测试(shi)。测试(shi)成果标明(ming)WDX4000完整知足环(huan)保部《HJ
780-2015 泥(ni)土(tu)和堆(dui)积物无(wu)(wu)机(ji)元(yuan)素(su)的(de)测定——波长色散X射线(xian)荧光光谱法》规范的(de)请求,完整可利用于环(huan)保局(ju✤)部(泥(ni)土(tu)品质(zhi)状态的(de)阐发与评价)、泥(ni)土(tu)管理修复企业(为接纳具备(bei)针对(dui)性(xing)的(de)管🍒理打算(suan)(suan)供给靠得(de)住数据)、第三方检(jian)测机(ji)构等相干(gan)局(ju)部企业。